Optical Phenomena
Wave Motion



How wave motion relates to light optics?
Measuring Height in Wave Form


Sin and Cosine Functions
Electromanetic Waves


Simple Form of Energy for a Caring Spherical Wave


3D Wave Form
2D Wave Form
Wave Motion


How Many Types of Electromagnetic Wave (EM)?

How do we know light contains multiple colors?




Why light (electromagnetic wave) from Sun contains many spectrum?
We found another way that scientists know multi-spectrum is by reflection, diffraction, refraction?


-
reflection
-
diffusion
-
scattering
-
wavelength
-
frequency
Wave and Ray Constructions and Reconstruction Interferences?




The colorful fringes from oil films
Please explain in detail how 2 light sources such as flash lights are `interference`.
Diffraction




What really diffraction are defined differently from reflection? Because they seems similar in several perspective.
What is this phenomenon?


Rays vs Wavefront



How ray and wavefront are related?
Which one real?
Reflection



Angle of Incidence


normal incidence
incident angle
Refraction of Light

When a wave moves into a slower medium the wavefronts get compressed. For the wavefronts to stay connected at the boundary the wave must change direction.
slow (water)
fast (air)
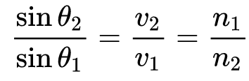
Refraction of light at the interface between two media of different refractive indices, with n2 > n1. Since the phase velocity is lower in the second medium (v2 < v1), the angle of refraction θ2 is less than the angle of incidence θ1; that is, the ray in the higher-index medium is closer to the normal.

Snell's law

What are the main distinguishes that scientists define reflection from refraction?
Refraction Critical Angle
Answer the question: Which light phenomena are observable if the observer is on the surface?
A) reflection
B) refraction
C) refraction with a critical angle
Why do underwater objects appear to be closer than they are?




Answer the question:
Why human eyes see through water and see actual object in the water is deeper its true location?
What kind of this light phenomenon?
A) reflection
B) refraction
C) refraction with critical angle
Scattering and Diffraction


What are the major differences between scattering and diffraction in sea wave phenomenon?
How do Prisms Bend Light, and What is Dispersion?


The main scientific definitions that distinguish scatting/diffraction from dispersion?
Recape
-
reflection
-
refraction
-
diffusion
-
scattering
-
transmission
-
diffraction
How Does Primary Rainbow Form?



- Reflection
- Refraction
- Ray
- Incident
- Transmission
- Attenuation
- Wavelength
Solving these problems, how many terminologies or keywords do we need?
How Does Secondary Rainbow Form?


Solving these problems, how many terminologies or keywords do we need?
- Multiple
Sun Halo



Solving these problems, how many terminologies or keywords do we need?
Rainbow rays pass through spherical water, but the sun's halo, its ray, passes through hexagonal ice crystals.
Why is the Sky Blue?


Scattering — specifically Rayleigh scattering particle
Sundog (Parhelion)




Mirage


wave motion and optics
By pongthep
wave motion and optics
- 426
