ATP資料分析

報告者:王禮恩

文獻報告:藉由分析駕駛行為數據評估駕駛之煞車操作
資料分析:加速度分析的可能方向
報告內容
.文獻回顧
.分析結果、期望
.待解決之問題

文獻回顧
標題:Analysis of Driving Performance Data to Evaluate Brake Manipulation by Railway Drivers
作者:Daisuke Suzuki, Naoki Mizukami, Yutaka kakizaki, Nobuyuki Tsuyuki
發表:Proceedings of the AHFE 2019 International Conference on Human Factors in Transportation, vol. 964, pp. 282–288 (2019)
1



2
手閘操作 - 判斷方法
在沒有多餘心理負荷的狀態下,手閘操作較為穩定
取第95百分位數以下之正常手閘操作並計算其變異數,得一判斷門檻值,並用以判斷駕駛是否處於異常狀態下


以正常操作取門檻值
異常操作
行為反覆
正常操作
行為固定
3
手閘操作 - 迴歸分析
此研究承繼前人研究之「煞車手把操作可作為分析駕駛行為之依據」及「煞車手把操作的各項數據(操作數據、操作幅度等)可做為分析駕駛行為的指標」兩點,以邏輯迴歸的方式找出可應用之實際模型

參考118位職業駕駛的駕駛行為,其中包含12位具有指導資格的「資深」駕駛以及22位在九個月內曾於列車進站時犯錯的「疏忽」駕駛
資料從2016年8月開始進行為期2個月的收集,以每秒回報1次的頻率紀錄數據
4
手閘操作 - 分析變數


4
結果顯示,額外的手把操作量之平均值、手把操作值和的標準差及駕駛經驗年數對結果有較為顯著的影響
手閘操作 - 分析變數

減速行為 - 判斷方法
5
正常駕駛行為與異常駕駛行為有明確的不同,故可以在期望加速度-實際加速度圖上規範出「異常區域」。以列車的減速行為有無進入此異常區域來判斷是否為異常狀態。


滑行
減速階段1
固定減速
減速階段2
調整減速
以正常駕駛決定異常區
異常區1
調整異常
異常區2
延遲減速
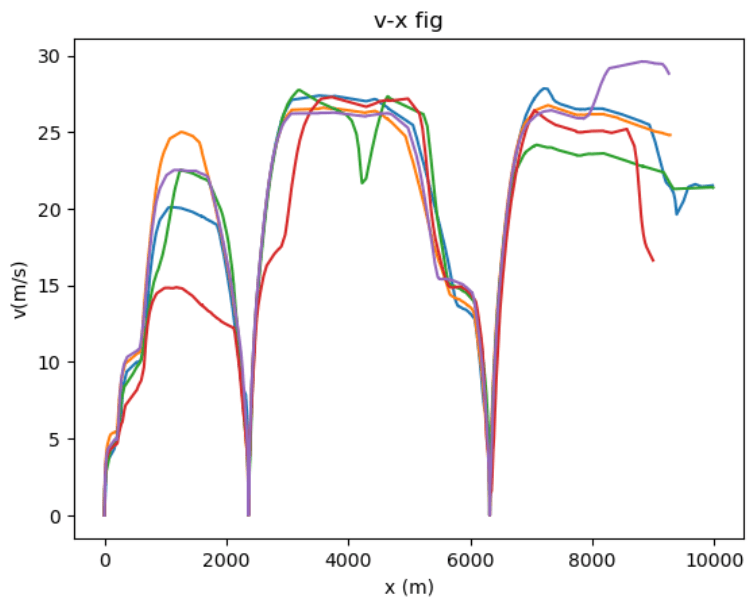
a-x、v-x圖成果
6
以6月份0H21工作班4124車次為例進行分析
新增橫、縱軸及圖表名稱
以6月1日至5日多車次
位置:0~5000

以6月1日至5日多車次
位置:0~10000

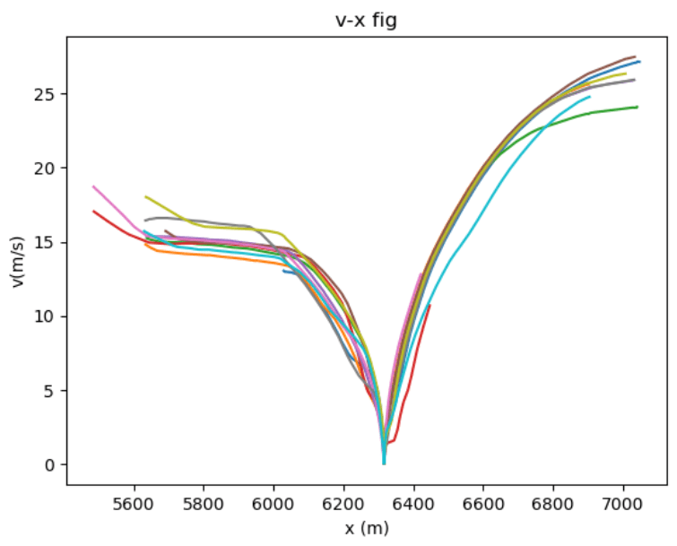
減速行為分析
7
以6月份0H21工作班4124車次為例進行分析
前次以第一次停車行為進行本析
本次試以礁溪進站之減速行為數據進行分析

a-x、v-x圖比較
8
以6月份0H21工作班4124車次為例進行分析


v-x圖中相當接近行為,以a-x圖可看出不同
此方法或許有利於找出潛在的風險行為
ar-x圖成果
9
以6月份0H21工作班4124車次為例進行分析
以6月1日至10日多車次
礁溪進站
可觀察到兩種趨勢
(1)先升後降
(2)先降後升
➔V-T圖無法直接看出
➔可能的分類依據

a-ar圖成果
10


以6月1至10日0H21工作班4124車次為例,右圖為2日(上)及5日(下)

a-x、ar-x圖比較
11



台鐵駕駛的行為與文獻中駕駛的行為展現明顯差異
或許不能直接利用文獻結果作為最終比較依據
待解決之問題
關於ATP封包數據:
與學長聯絡之後,已確認有方法從ATP資料中取得加速度數據,故未來應可獲得更好結果。數據不連續方面則暫無解決方式,待分析結果產生後再行判斷。最小單位記錄至秒是否仍為問題亦待測試。
數據量龐大,產圖速度慢:
由於對列車完整駕駛曲線逕行分類或過於空泛,本研究考慮將其以取段的方式進行分析(如:站與站之間一段)。其優點有二:(1) 增加精確性,針對風險區域進行獨立分析 (2) 減少計算量,加快工作速度
12
感謝聆聽

10/22 ATP資料分析
By spacezpr
10/22 ATP資料分析
- 50